Evaluating Indoor Air Quality in Residential Environments: A Study of PM2.5 and CO2 Dynamics Using Low-Cost Sensors
Published in Environments [IF:3.7], 2024
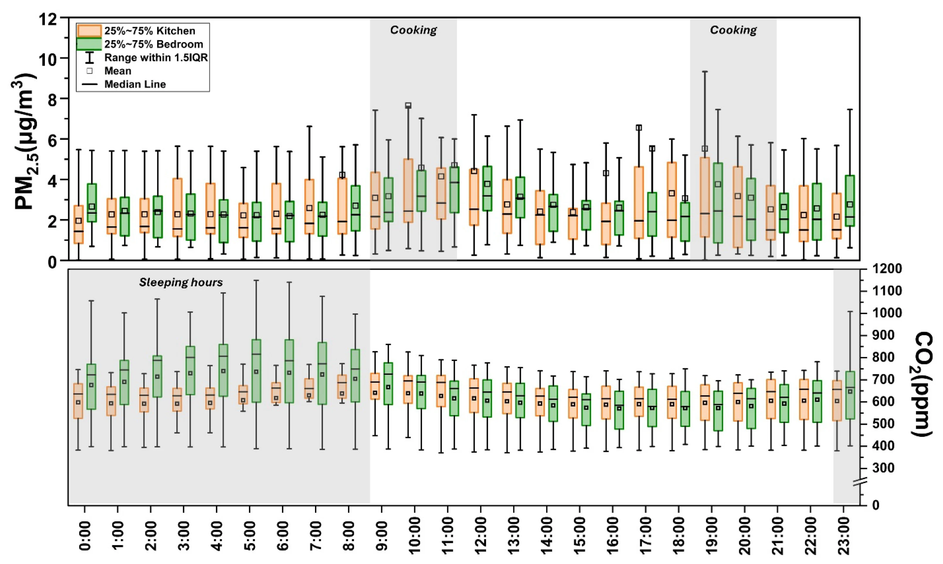
Indoor air quality (IAQ) poses a significant public health concern, and exposures to high levels of fine particulate matter (PM2.5) and carbon dioxide (CO2) could have detrimental health impacts. This study focused on assessing the indoor air pollutants in a residential house located in the town of Mission, Hidalgo County, South Texas, USA. The PM2.5 and CO2 were monitored indoors: the kitchen and the bedroom. This investigation also aimed to elucidate the effects of household activities such as cooking and human occupancy on these pollutants. Low-cost sensors (LCSs) from TSI AirAssure™ were used in this study. They were deployed within the breathing zone at approximately 1.5 m above the ground. Calibration of the low-cost sensors against Federal Equivalent Method (FEM) instruments was undertaken using a multiple linear regression method (MLR) model to improve the data accuracy. The indoor PM2.5 levels were significantly influenced by cooking activities, with the peak PM2.5 concentrations reaching up to 118.45 μg/m3. The CO2 levels in the bedroom increased during the occupant’s sleeping period, reaching as high as 1149.73 ppm. The health risk assessment was assessed through toxicity potential (TP) calculations for the PM2.5 concentrations. TP values of 0.21 and 0.20 were obtained in the kitchen and bedroom, respectively. The TP values were below the health hazard threshold (i.e., TP < 1). These low TP values could be attributed to the use of electric stoves and efficient ventilation systems. This research highlights the effectiveness of low-cost sensors for continuous IAQ monitoring and helps promote better awareness of and necessary interventions for salubrious indoor microenvironments.
Key Figures from the Published Article


